2023-07-31 11:50:56¡¡ÈªÔ´: Ææ¼£Ìõ¼Ç ÆëÃùÊÓ²ì ¹ã¶«6731¶¥¼¶ÓÎÏ·ÕûºÏ
½üÆÚº«¹úÎïÀíѧ¼ÒÍŶӷ¢Ã÷ÁËÌìÏÂÊ׸ö³£Î³¬µ¼ÖÊÁϵÄÐÂÎÅ»ð±éÈ«Íø¡£¡£¡£¡£¡£ËûÃdzƽ«Ç¦¡¢Í¡¢Á×ÈýÖÖÖÊÁÏÆ¾Ö¤Ò»¶¨×éºÏºó»®·Ö»ìÏý¼ÓÈÈ£¬£¬£¬£¬£¬£¬£¬×îÖÕ»ñµÃÁËÒ»ÖÖǦÁ×»Òʯ¾§Ì壬£¬£¬£¬£¬£¬£¬ËûÃǽ«ÆäÃüÃûΪLK-99¡£¡£¡£¡£¡£ÖÊÁϽÐǦÁ×»Òʯ¡£¡£¡£¡£¡£
³¬µ¼ÊÇÖÊÁÏÔÚÒ»¶¨Î¶Èϵç×è±äΪ0µÄÎïÀíÕ÷Ïóͬʱ³¬µ¼ÌåÉÐÓÐÁíÒ»ÖÖÐÔ×Ó³ÆÎªÍêÈ«¿¹´ÅÐÔ¡£¡£¡£¡£¡£ÖÊÁÏתÄð³É³¬µ¼Ìåºó£¬£¬£¬£¬£¬£¬£¬ÌåÄڵĴų¡»á¡°ÇãÔþ¡±ÏÕЩËùÓеĴÅͨÁ¿£¬£¬£¬£¬£¬£¬£¬´ÅÁ¦ÏßÎÞ·¨´©Í¸³¬µ¼Ìå¡£¡£¡£¡£¡£
Õâ¸öÕ÷ÏóÒ²±»³ÆÎªÂõ˹ÄÉЧӦ¡£¡£¡£¡£¡£³¬µ¼ÌåµÄÓ¦ÓÃÓÐÍûΪ¿Æ¼¼´øÀ´ÖØ´óÀå¸ï£¬£¬£¬£¬£¬£¬£¬µ«¿àÓÚ³¬µ¼×ª±äζȹýµÍ£¬£¬£¬£¬£¬£¬£¬Ó¦ÓÃÊÜÏÞ£»£»£»£»£»£»£»£»ÊÒÎÂÌõ¼þϵij¬µ¼ÌåÊdz¬µ¼Ñо¿Ö°Ô±µÄ×îÖÕÃÎÏë¡£¡£¡£¡£¡£ÈôÊÇÕæµÄ¼¸ÌìºóÑéÖ¤£¬£¬£¬£¬£¬£¬£¬³£Î³£Ñ¹³¬µ¼£¬£¬£¬£¬£¬£¬£¬Á×½«»áÉÏÉýΪµÚËĴι¤Òµ¸ïÃüµÄ½¹µãÉÏÓÎÖÊÁÏ
×ÅʵÔÚ½ñÄê3Ô¾ÍÔøÓÐÒ»¸öºÍÊÒ㬵¼Ïà¹ØµÄ±¨¸æ£¬£¬£¬£¬£¬£¬£¬µ«×îÖÕ±»ÊÓΪ֤¾Ýȱ·¦ºÍÔì¼Ù¶øÊܵ½ÖÊÒÉ¡£¡£¡£¡£¡£
ÄÇΪʲô´Ë´Îº«¹úÍŶӵÄÐÂÎÅÒÀ¾É»ð±éÈ«Íø¡£¡£¡£¡£¡£Ò»ÊÇÈËÃÇ̫ϣÍûËüÊÇÕæµÄ£»£»£»£»£»£»£»£»¶þÊÇÔÚÓÚÕâ´Îº«¹úÍŶӲ»µ«Ðû²¼ÁËËûÃÇʹÓõÄÖÊÁÏ£¬£¬£¬£¬£¬£¬£¬»¹ÔÚÂÛÎÄÖÐÏÈÈÝÁËÏêϸµÄÖÊÁÏÖÆ±¸ÒªÁ죬£¬£¬£¬£¬£¬£¬²¢ÇÒÖÊÁÏÒòËØ½ÏÁ¿¼òÆÓºÍÃ÷È·¡£¡£¡£¡£¡£ÏëÒªÖÆ±¸³öÏàͬµÄÖÊÁÏ£¬£¬£¬£¬£¬£¬£¬ÄÃÀ´Ä¥Á·º«¹úÍŶӵÄʵÑéЧ¹û£¬£¬£¬£¬£¬£¬£¬ÄѶȲ¢²»´ó¡£¡£¡£¡£¡£ÓÐЩÍâÑóÖ÷²¥ÉõÖÁÔÚ¼ÒÀï¾ÙÐÐʵÑé¡£¡£¡£¡£¡£
µÚÒ»²½£ºÓÃĦ¶û±È1£º1µÄÑõ»¯Ç¦ºÍÁòËáǦ·ÛÄ©ÔÚ725ÉãÊ϶ȺÍ10^-3TorrÌõ¼þϱ¬·¢¹ÌÏ໯ѧ·´Ó¦£¬£¬£¬£¬£¬£¬£¬ºÏ³É»ÆÇ¦·¯£»£»£»£»£»£»£»£»
µÚ¶þ²½£ºÔÚ550ÉãÊ϶ȺÍ10^-3TorrÌõ¼þϺϳÉÁ×»¯ÑÇÍ£¨Ò»¡¢¶þ²½¿É×ÔÁ¦¾ÙÐУ©£»£»£»£»£»£»£»£»
µÚÈý²½£ºÒ»¡¢¶þ²½µÄ²úƲÙÐÄ¥³É·ÛÄ©ºó£¬£¬£¬£¬£¬£¬£¬ÔÚ10^-3TorrÌõ¼þÏ£¬£¬£¬£¬£¬£¬£¬¼ÓÈȵ½925ÉãÊ϶ȣ¬£¬£¬£¬£¬£¬£¬ºÏ³É²ôCuµÄǦ-Á×»Òʯ£¨¼´LK-99£©¡£¡£¡£¡£¡£
½á¹¹ÓëÎïÐÔ
ºìÏßÊÇǦ-Á×»Òʯ£¬£¬£¬£¬£¬£¬£¬ºÚÏßÊÇLK-99£¬£¬£¬£¬£¬£¬£¬¿É¼û²ôÈëÉÙÁ¿µÄCuºó£¬£¬£¬£¬£¬£¬£¬¾§¸ñ³£Êý±äСÁË£¬£¬£¬£¬£¬£¬£¬¼´ÖÊÁϱ¬·¢ÁËËõ¶Ì¡£¡£¡£¡£¡£
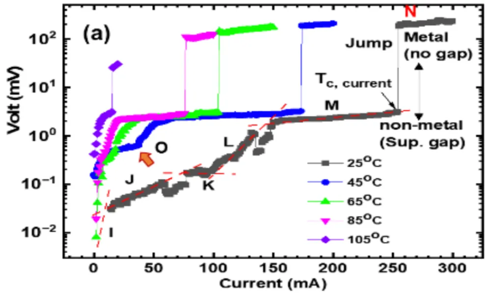
×ÝÖáÊǵçѹ£¬£¬£¬£¬£¬£¬£¬ºáÖáÊǵçÁ÷£¬£¬£¬£¬£¬£¬£¬¿É¼ûÔÚÊÒÎÂÇø¼ä£¬£¬£¬£¬£¬£¬£¬µçѹΪ0ʱ£¬£¬£¬£¬£¬£¬£¬µçÁ÷¿ÉÒÔ²»ÊÇ0¡£¡£¡£¡£¡£
×ÝÖáÊǵçѹ£¬£¬£¬£¬£¬£¬£¬ºáÖáÊǵçÁ÷£¬£¬£¬£¬£¬£¬£¬¿É¼ûÔÚÊÒÎÂÇø¼ä£¬£¬£¬£¬£¬£¬£¬µçѹΪ0ʱ£¬£¬£¬£¬£¬£¬£¬µçÁ÷¿ÉÒÔ²»ÊÇ0¡£¡£¡£¡£¡£
µç×èÂÊȷʵÓÐÒ»¸öÌø±ä£¬£¬£¬£¬£¬£¬£¬µ«Ðè×¢ÖØµÄÊǽðÊôµÄµç×èÂÊÊÇ10^-6¦¸¡¤cm£¬£¬£¬£¬£¬£¬£¬»»¾ä»°ËµÉÏͼµÄÕÉÁ¿¾«¶ÈÊÇÔ¶Ô¶²»·óµÄ¡£¡£¡£¡£¡£Õâ¿´ÉÏÈ¥¸üÏñÊDZ¬·¢ÁËÒ»¸ö¾øÔµÌå-½ðÊôת±ä¡£¡£¡£¡£¡£
ºÚÇò´ú±íPb1£¬£¬£¬£¬£¬£¬£¬Ìṩ֧³Ö/¿ò¼Ü×÷Ó㬣¬£¬£¬£¬£¬£¬²¿·Ö±»CuÈ¡´úºó£¬£¬£¬£¬£¬£¬£¬»á±¬·¢Ò»¸öѹËõµÄЧӦ£¬£¬£¬£¬£¬£¬£¬»ÒÇò´ú±íPb2£¬£¬£¬£¬£¬£¬£¬Öù×´ÅÅÁеÄPb2×é³ÉÒ»¸ö1άϵͳ£¬£¬£¬£¬£¬£¬£¬Ìض¨Î¶ÈÏ»¹¿É±¬·¢µçºÉÃܶȲ¨£¨CDW£©£¬£¬£¬£¬£¬£¬£¬¼´µçºÉµÄÖÜÆÚÐÔµ÷ÖÆ¡£¡£¡£¡£¡£
²»¹ýÏà¹Ø×¨¼ÒÈÔ¶Ô´Ë´ÎʵÑé±£´æÖÊÒÉ£¬£¬£¬£¬£¬£¬£¬ÃÀ¹úÈ˹¤ÖÇÄܹ«Ë¾OpenAIµÄÍŽáÊ×´´È˼æÊ×ϯִÐйÙɽķ¡¤°ÂÌØÂü£¨Sam Altman£©½ÒÏþ̸Â۳ƣ¬£¬£¬£¬£¬£¬£¬¡°ÎÒºÜÊÇÏëÏàÐÅ£¬£¬£¬£¬£¬£¬£¬µ«ÎÒÒÔΪÎÒÃǶÔÒ»¸ö¶þ´ÅÌ壨diamagnet£©¹ýÓÚ¼¤¶¯ÁË¡£¡£¡£¡£¡£¡±
³¬µ¼ÁìÓòÑо¿×¨¼Ò¡¢¼ÓÖÝ´óѧʥµØÑǸç·ÖУÀíϵ½ÌÊÚºÀ¶ûºÕ¡¤ºÕÏ££¨Jorge Hirsch£©Ì¸µ½º«¹úǰÊö³¬µ¼ÖÊÁÏÐÂÂÛÎÄʱ˵£º¡°Õâ²»Êdz¬µ¼¡£¡£¡£¡£¡£ÕâÊÇʵÑéÐÔ¼ÙÏó¡¢Ò»ÏáÇéÔ¸µÄÏë·¨ºÍÔã¸âµÄÅжϣ¨ÔÚ×îºÃµÄÇéÐÎÏ£©¡£¡£¡£¡£¡£¡±
¾Ý¿Æ¼¼ÐÂÎÅýÌ塶пÆÑ§¼Ò¡·£¨New Scientist£©26Èյı¨µÀ£¬£¬£¬£¬£¬£¬£¬Å£½ò´óѧÖÊÁÏϵ½ÌÊÚËÕɺÄÈ¡¤Ë¹ÅåÀÕ£¨Susannah Speller£©ÌåÏÖ£¬£¬£¬£¬£¬£¬£¬ÏÖÔÚ˵ÕâЩÑùÆ·Äܹ»³¬µ¼£¬£¬£¬£¬£¬£¬£¬»¹ÎªÊ±ÉÐÔç¡£¡£¡£¡£¡£ËýÌåÏÖ£¬£¬£¬£¬£¬£¬£¬µ±Ò»ÖÖÖÊÁϱäµÃ³¬µ¼Ê±£¬£¬£¬£¬£¬£¬£¬ÔÚÐí¶àÕÉÁ¿ÖÐÓ¦¸ÃÕ¹ÏÖ³öÃ÷È·µÄÌØÕ÷¡£¡£¡£¡£¡£µ«ÆäÖеÄÁ½¸ö²ÎÊý¡ª¡ª¶Ô´Å³¡µÄÏìÓ¦ÇéÐκÍÒ»¸ö±»³ÆÎªÈÈÈݵIJÎÊý£¬£¬£¬£¬£¬£¬£¬Ç°ÊöÂÛÎÄûÓÐչʾÏà¹ØÊý¾Ý¡£¡£¡£¡£¡£
ÎÒ¹úÄϾ©´óѧÎïÀíѧԺ½ÌÊÚÎź£»£»£»£»£»£»£»£»¢ÌåÏÖ¡°ÎÒÃÇ×ÐϸÆÊÎö¹ýËûÃǵÄÊý¾Ý£¬£¬£¬£¬£¬£¬£¬´ÓÈý¸ö·½Ã桪µç×è¡¢´Å»¯ºÍËùνµÄ´ÅÐü¸¡£¬£¬£¬£¬£¬£¬£¬¶¼È±·¦ÒÔ˵Ã÷ËüÊdz¬µ¼Õ÷Ï󡣡£¡£¡£¡£ÎÒÃÇÅжϼ«ÓпÉÄÜÊǸö¼ÙÏ󡣡£¡£¡£¡£¡±
ËäÈ»ÓйØÑо¿³ö³£Î³¬µ¼ÌåÖÊÁϵÄÐÂÎÅÒ»Ö±¶¼ÊÇÀÇÀ´ÁË£¬£¬£¬£¬£¬£¬£¬µ«ÈËÃÇÒ²¶¼Ï£ÍûÕâÊÇÕæµÄ¡£¡£¡£¡£¡£ÊÂʵÑо¿³£Î³¬µ¼ÖÊÁÏÊǺÜÊÇÖ÷ÒªµÄÒ»¼þÊÂÇ飬£¬£¬£¬£¬£¬£¬ÈôÊÇÄܹýʵÏÖ£¬£¬£¬£¬£¬£¬£¬È·ÊµÄܹ»´øÀ´Ðí¶à·½ÃæµÄ¸Ä±ä¡£¡£¡£¡£¡£Ò»µ©±»Ö¤Êµ£¬£¬£¬£¬£¬£¬£¬Õ⽫ÊÇÒ»³¡ÕæÕýµÄ¸ïÃü£¬£¬£¬£¬£¬£¬£¬Ò»³¡Éî¿ÌµÄ¹¤Òµ½çµÄ¸ïÃü¡£¡£¡£¡£¡£
2023-07-31 11:50:56¡¡ÈªÔ´: Ææ¼£Ìõ¼Ç ÆëÃùÊÓ²ì ¹ã¶«6731¶¥¼¶ÓÎÏ·ÕûºÏ
½üÆÚº«¹úÎïÀíѧ¼ÒÍŶӷ¢Ã÷ÁËÌìÏÂÊ׸ö³£Î³¬µ¼ÖÊÁϵÄÐÂÎÅ»ð±éÈ«Íø¡£¡£¡£¡£¡£ËûÃdzƽ«Ç¦¡¢Í¡¢Á×ÈýÖÖÖÊÁÏÆ¾Ö¤Ò»¶¨×éºÏºó»®·Ö»ìÏý¼ÓÈÈ£¬£¬£¬£¬£¬£¬£¬×îÖÕ»ñµÃÁËÒ»ÖÖǦÁ×»Òʯ¾§Ì壬£¬£¬£¬£¬£¬£¬ËûÃǽ«ÆäÃüÃûΪLK-99¡£¡£¡£¡£¡£ÖÊÁϽÐǦÁ×»Òʯ¡£¡£¡£¡£¡£
³¬µ¼ÊÇÖÊÁÏÔÚÒ»¶¨Î¶Èϵç×è±äΪ0µÄÎïÀíÕ÷Ïóͬʱ³¬µ¼ÌåÉÐÓÐÁíÒ»ÖÖÐÔ×Ó³ÆÎªÍêÈ«¿¹´ÅÐÔ¡£¡£¡£¡£¡£ÖÊÁÏתÄð³É³¬µ¼Ìåºó£¬£¬£¬£¬£¬£¬£¬ÌåÄڵĴų¡»á¡°ÇãÔþ¡±ÏÕЩËùÓеĴÅͨÁ¿£¬£¬£¬£¬£¬£¬£¬´ÅÁ¦ÏßÎÞ·¨´©Í¸³¬µ¼Ìå¡£¡£¡£¡£¡£
Õâ¸öÕ÷ÏóÒ²±»³ÆÎªÂõ˹ÄÉЧӦ¡£¡£¡£¡£¡£³¬µ¼ÌåµÄÓ¦ÓÃÓÐÍûΪ¿Æ¼¼´øÀ´ÖØ´óÀå¸ï£¬£¬£¬£¬£¬£¬£¬µ«¿àÓÚ³¬µ¼×ª±äζȹýµÍ£¬£¬£¬£¬£¬£¬£¬Ó¦ÓÃÊÜÏÞ£»£»£»£»£»£»£»£»ÊÒÎÂÌõ¼þϵij¬µ¼ÌåÊdz¬µ¼Ñо¿Ö°Ô±µÄ×îÖÕÃÎÏë¡£¡£¡£¡£¡£ÈôÊÇÕæµÄ¼¸ÌìºóÑéÖ¤£¬£¬£¬£¬£¬£¬£¬³£Î³£Ñ¹³¬µ¼£¬£¬£¬£¬£¬£¬£¬Á×½«»áÉÏÉýΪµÚËĴι¤Òµ¸ïÃüµÄ½¹µãÉÏÓÎÖÊÁÏ
×ÅʵÔÚ½ñÄê3Ô¾ÍÔøÓÐÒ»¸öºÍÊÒ㬵¼Ïà¹ØµÄ±¨¸æ£¬£¬£¬£¬£¬£¬£¬µ«×îÖÕ±»ÊÓΪ֤¾Ýȱ·¦ºÍÔì¼Ù¶øÊܵ½ÖÊÒÉ¡£¡£¡£¡£¡£
ÄÇΪʲô´Ë´Îº«¹úÍŶӵÄÐÂÎÅÒÀ¾É»ð±éÈ«Íø¡£¡£¡£¡£¡£Ò»ÊÇÈËÃÇ̫ϣÍûËüÊÇÕæµÄ£»£»£»£»£»£»£»£»¶þÊÇÔÚÓÚÕâ´Îº«¹úÍŶӲ»µ«Ðû²¼ÁËËûÃÇʹÓõÄÖÊÁÏ£¬£¬£¬£¬£¬£¬£¬»¹ÔÚÂÛÎÄÖÐÏÈÈÝÁËÏêϸµÄÖÊÁÏÖÆ±¸ÒªÁ죬£¬£¬£¬£¬£¬£¬²¢ÇÒÖÊÁÏÒòËØ½ÏÁ¿¼òÆÓºÍÃ÷È·¡£¡£¡£¡£¡£ÏëÒªÖÆ±¸³öÏàͬµÄÖÊÁÏ£¬£¬£¬£¬£¬£¬£¬ÄÃÀ´Ä¥Á·º«¹úÍŶӵÄʵÑéЧ¹û£¬£¬£¬£¬£¬£¬£¬ÄѶȲ¢²»´ó¡£¡£¡£¡£¡£ÓÐЩÍâÑóÖ÷²¥ÉõÖÁÔÚ¼ÒÀï¾ÙÐÐʵÑé¡£¡£¡£¡£¡£
µÚÒ»²½£ºÓÃĦ¶û±È1£º1µÄÑõ»¯Ç¦ºÍÁòËáǦ·ÛÄ©ÔÚ725ÉãÊ϶ȺÍ10^-3TorrÌõ¼þϱ¬·¢¹ÌÏ໯ѧ·´Ó¦£¬£¬£¬£¬£¬£¬£¬ºÏ³É»ÆÇ¦·¯£»£»£»£»£»£»£»£»
µÚ¶þ²½£ºÔÚ550ÉãÊ϶ȺÍ10^-3TorrÌõ¼þϺϳÉÁ×»¯ÑÇÍ£¨Ò»¡¢¶þ²½¿É×ÔÁ¦¾ÙÐУ©£»£»£»£»£»£»£»£»
µÚÈý²½£ºÒ»¡¢¶þ²½µÄ²úƲÙÐÄ¥³É·ÛÄ©ºó£¬£¬£¬£¬£¬£¬£¬ÔÚ10^-3TorrÌõ¼þÏ£¬£¬£¬£¬£¬£¬£¬¼ÓÈȵ½925ÉãÊ϶ȣ¬£¬£¬£¬£¬£¬£¬ºÏ³É²ôCuµÄǦ-Á×»Òʯ£¨¼´LK-99£©¡£¡£¡£¡£¡£
½á¹¹ÓëÎïÐÔ
ºìÏßÊÇǦ-Á×»Òʯ£¬£¬£¬£¬£¬£¬£¬ºÚÏßÊÇLK-99£¬£¬£¬£¬£¬£¬£¬¿É¼û²ôÈëÉÙÁ¿µÄCuºó£¬£¬£¬£¬£¬£¬£¬¾§¸ñ³£Êý±äСÁË£¬£¬£¬£¬£¬£¬£¬¼´ÖÊÁϱ¬·¢ÁËËõ¶Ì¡£¡£¡£¡£¡£
×ÝÖáÊǵçѹ£¬£¬£¬£¬£¬£¬£¬ºáÖáÊǵçÁ÷£¬£¬£¬£¬£¬£¬£¬¿É¼ûÔÚÊÒÎÂÇø¼ä£¬£¬£¬£¬£¬£¬£¬µçѹΪ0ʱ£¬£¬£¬£¬£¬£¬£¬µçÁ÷¿ÉÒÔ²»ÊÇ0¡£¡£¡£¡£¡£
×ÝÖáÊǵçѹ£¬£¬£¬£¬£¬£¬£¬ºáÖáÊǵçÁ÷£¬£¬£¬£¬£¬£¬£¬¿É¼ûÔÚÊÒÎÂÇø¼ä£¬£¬£¬£¬£¬£¬£¬µçѹΪ0ʱ£¬£¬£¬£¬£¬£¬£¬µçÁ÷¿ÉÒÔ²»ÊÇ0¡£¡£¡£¡£¡£
µç×èÂÊȷʵÓÐÒ»¸öÌø±ä£¬£¬£¬£¬£¬£¬£¬µ«Ðè×¢ÖØµÄÊǽðÊôµÄµç×èÂÊÊÇ10^-6¦¸¡¤cm£¬£¬£¬£¬£¬£¬£¬»»¾ä»°ËµÉÏͼµÄÕÉÁ¿¾«¶ÈÊÇÔ¶Ô¶²»·óµÄ¡£¡£¡£¡£¡£Õâ¿´ÉÏÈ¥¸üÏñÊDZ¬·¢ÁËÒ»¸ö¾øÔµÌå-½ðÊôת±ä¡£¡£¡£¡£¡£
ºÚÇò´ú±íPb1£¬£¬£¬£¬£¬£¬£¬Ìṩ֧³Ö/¿ò¼Ü×÷Ó㬣¬£¬£¬£¬£¬£¬²¿·Ö±»CuÈ¡´úºó£¬£¬£¬£¬£¬£¬£¬»á±¬·¢Ò»¸öѹËõµÄЧӦ£¬£¬£¬£¬£¬£¬£¬»ÒÇò´ú±íPb2£¬£¬£¬£¬£¬£¬£¬Öù×´ÅÅÁеÄPb2×é³ÉÒ»¸ö1άϵͳ£¬£¬£¬£¬£¬£¬£¬Ìض¨Î¶ÈÏ»¹¿É±¬·¢µçºÉÃܶȲ¨£¨CDW£©£¬£¬£¬£¬£¬£¬£¬¼´µçºÉµÄÖÜÆÚÐÔµ÷ÖÆ¡£¡£¡£¡£¡£
²»¹ýÏà¹Ø×¨¼ÒÈÔ¶Ô´Ë´ÎʵÑé±£´æÖÊÒÉ£¬£¬£¬£¬£¬£¬£¬ÃÀ¹úÈ˹¤ÖÇÄܹ«Ë¾OpenAIµÄÍŽáÊ×´´È˼æÊ×ϯִÐйÙɽķ¡¤°ÂÌØÂü£¨Sam Altman£©½ÒÏþ̸Â۳ƣ¬£¬£¬£¬£¬£¬£¬¡°ÎÒºÜÊÇÏëÏàÐÅ£¬£¬£¬£¬£¬£¬£¬µ«ÎÒÒÔΪÎÒÃǶÔÒ»¸ö¶þ´ÅÌ壨diamagnet£©¹ýÓÚ¼¤¶¯ÁË¡£¡£¡£¡£¡£¡±
³¬µ¼ÁìÓòÑо¿×¨¼Ò¡¢¼ÓÖÝ´óѧʥµØÑǸç·ÖУÀíϵ½ÌÊÚºÀ¶ûºÕ¡¤ºÕÏ££¨Jorge Hirsch£©Ì¸µ½º«¹úǰÊö³¬µ¼ÖÊÁÏÐÂÂÛÎÄʱ˵£º¡°Õâ²»Êdz¬µ¼¡£¡£¡£¡£¡£ÕâÊÇʵÑéÐÔ¼ÙÏó¡¢Ò»ÏáÇéÔ¸µÄÏë·¨ºÍÔã¸âµÄÅжϣ¨ÔÚ×îºÃµÄÇéÐÎÏ£©¡£¡£¡£¡£¡£¡±
¾Ý¿Æ¼¼ÐÂÎÅýÌ塶пÆÑ§¼Ò¡·£¨New Scientist£©26Èյı¨µÀ£¬£¬£¬£¬£¬£¬£¬Å£½ò´óѧÖÊÁÏϵ½ÌÊÚËÕɺÄÈ¡¤Ë¹ÅåÀÕ£¨Susannah Speller£©ÌåÏÖ£¬£¬£¬£¬£¬£¬£¬ÏÖÔÚ˵ÕâЩÑùÆ·Äܹ»³¬µ¼£¬£¬£¬£¬£¬£¬£¬»¹ÎªÊ±ÉÐÔç¡£¡£¡£¡£¡£ËýÌåÏÖ£¬£¬£¬£¬£¬£¬£¬µ±Ò»ÖÖÖÊÁϱäµÃ³¬µ¼Ê±£¬£¬£¬£¬£¬£¬£¬ÔÚÐí¶àÕÉÁ¿ÖÐÓ¦¸ÃÕ¹ÏÖ³öÃ÷È·µÄÌØÕ÷¡£¡£¡£¡£¡£µ«ÆäÖеÄÁ½¸ö²ÎÊý¡ª¡ª¶Ô´Å³¡µÄÏìÓ¦ÇéÐκÍÒ»¸ö±»³ÆÎªÈÈÈݵIJÎÊý£¬£¬£¬£¬£¬£¬£¬Ç°ÊöÂÛÎÄûÓÐչʾÏà¹ØÊý¾Ý¡£¡£¡£¡£¡£
ÎÒ¹úÄϾ©´óѧÎïÀíѧԺ½ÌÊÚÎź£»£»£»£»£»£»£»£»¢ÌåÏÖ¡°ÎÒÃÇ×ÐϸÆÊÎö¹ýËûÃǵÄÊý¾Ý£¬£¬£¬£¬£¬£¬£¬´ÓÈý¸ö·½Ã桪µç×è¡¢´Å»¯ºÍËùνµÄ´ÅÐü¸¡£¬£¬£¬£¬£¬£¬£¬¶¼È±·¦ÒÔ˵Ã÷ËüÊdz¬µ¼Õ÷Ï󡣡£¡£¡£¡£ÎÒÃÇÅжϼ«ÓпÉÄÜÊǸö¼ÙÏ󡣡£¡£¡£¡£¡±
ËäÈ»ÓйØÑо¿³ö³£Î³¬µ¼ÌåÖÊÁϵÄÐÂÎÅÒ»Ö±¶¼ÊÇÀÇÀ´ÁË£¬£¬£¬£¬£¬£¬£¬µ«ÈËÃÇÒ²¶¼Ï£ÍûÕâÊÇÕæµÄ¡£¡£¡£¡£¡£ÊÂʵÑо¿³£Î³¬µ¼ÖÊÁÏÊǺÜÊÇÖ÷ÒªµÄÒ»¼þÊÂÇ飬£¬£¬£¬£¬£¬£¬ÈôÊÇÄܹýʵÏÖ£¬£¬£¬£¬£¬£¬£¬È·ÊµÄܹ»´øÀ´Ðí¶à·½ÃæµÄ¸Ä±ä¡£¡£¡£¡£¡£Ò»µ©±»Ö¤Êµ£¬£¬£¬£¬£¬£¬£¬Õ⽫ÊÇÒ»³¡ÕæÕýµÄ¸ïÃü£¬£¬£¬£¬£¬£¬£¬Ò»³¡Éî¿ÌµÄ¹¤Òµ½çµÄ¸ïÃü¡£¡£¡£¡£¡£
ÁªÏµµç»°£º020-38797541
ÔÚÏßQQ£º 2430586914
ÔÚÏßÓÊÏ䣺hfpowerzmx@126.com
ÓÊÕþ±àºÅ£º511400
ÁªÏµµØÖ·£º¹ãÖÝÊÐÌìºÓÇøÌìºÓÖ±½Ö148ºÅÌåÓýÎ÷Ô·302·¿